Lajas para pisos – Como colocar lajas – Lajas de cemento
Lajas para pisos – Como colocar lajas – Lajas de cemento
Trazado y construccion de caminos con lajas artificiales
El valor estético de un jardín, cualquiera que sea, se realza con un bien trazado camino de lajas; si no se dispone de piedras naturales, se las puede substituir con losas de concreto, imitando lajas. Este es un trabajo que puede ser emprendido por un principiante con confianza plena en el éxito final.
Nada hay que afecte más la belleza de un jardín que un camino desprolijo o mal trazado, polvoriento y seco en tiempo caluroso y barroso con la humedad. Estos senderos pueden ser fácilmente reemplazados por una forma de pavimento que no destruirá el encanto natural del jardín.
Los caminos hechos con lajas artificiales, fabricados en cemento ya sea coloreados en diversos tonos o en uno solo, resultan ideales para jardines íntimos; la construcción y el trazado son sencillos, y el costo muy razonable.
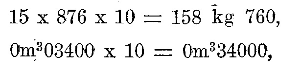
Las cantidades necesarias pueden calcularse por medio de la tabla que publicamos. Por ejemplo:
El camino, que se ha elegido de 83 cm. de ancho, debe tener 10 m de largo. Cada una de las cantidades de mezcla indicadas en el cuadro cubrirá un espacio de un metro de longitud por 0,83 m. de ancho, con una capa del espesor elegido. Se multiplican las cantidades indicadas por el número de metros de camino, que en este caso es 10, y se tiene:
Fig. 1.- lajas para pisos – como colocar lajas – lajas de cemento:
cantidades de cemento y de arena, respectivamente, necesarias para cubrir un camino de las medidas indicadas, con una capa de concreto de 38 mm. de espesor. Si se desea variar el ancho del sendero se calcula la cantidad de centímetros cuadrados que tiene: 83 x 100 = 8300. Las cantidades de material indicadas se dividen por esta cantidad, y el resultado obtenido se multiplica por la cantidad de centímetros cuadrados que quiere darse. Por ejemplo: 95 x 100 = 9500 cm2.
La cantidad de agua necesaria para producir una mezcla que pueda disponerse con facilidad y que dé buenos resultados, es medio balde de agua por cada balde de cemento.
Fig. 2.- lajas para pisos – como colocar lajas – lajas de cemento:
Forma de mezclar el concreto.
Los materiales se mezclan sobre un piso pavimentado limpio o sobre una plataforma de tablas. Todos los ingredientes, incluso el agua deben medirse con exactitud, objeto para el que es práctico un balde pequeño.
La arena y el cemento se mezclan perfectamente con una pala, revolviendo hasta que toda la masa tenga un color uniforme, sin manchas de color marrón o gris.
Se mide la correcta cantidad de agua y se salpica lentamente sobre el montón, rociándolo con una regadera con flor muy fina; se hacen frecuentes interrupciones para revolver el material con la pala. Se continúa hasta que todo el material esté convertido en una masa plástica, de color y consistencia uniformes. El concreto debe ponerse dentro de los 30 minutos de hecha la mezcla.
Fig. 3.- lajas para pisos – como colocar lajas – lajas de cemento:
Una vez colocado, se deja descansar el concreto durante una o dos horas, según sea la temperatura, y luego se marcan las piezas en la forma que se desee; el espesor se corta con la llana.
Fig. 4.- lajas para pisos – como colocar lajas – lajas de cemento:
Ya cortadas las piezas se las deja endurecer durante cuatro o cinco días antes de levantarlas, para evitar el riesgo de romperlas. Mientras tanto se las debe mantener a cubierto de la humedad, del sol y del viento. Después se las levanta con una pala y se las deja apiladas acomodadas sobre sus bordes hasta que se las necesite.
Fig. 5.- lajas para pisos – como colocar lajas – lajas de cemento:
Al construir el camino, estas lajas de concreto pueden ponerse tanto sobre un lecho de arena como sobre uno de concreto, formado con una parte de cemento, cuatro de arena y 5/8 de parte de agua. Las piezas que tengan un lado recto deben reservarse para los costados del sendero.
Fig. 6.- lajas para pisos – como colocar lajas – lajas de cemento:
El aspecto del pavimento mejorará mucho si las juntas se rellenan con el mismo mortero usado para asentar las piedras artificiales, pero preparado con cemento coloreado.
Los cementos comunes o coloreados pueden conseguirse en las casas de materiales de construcción; los pigmentos para colorear cementos comunes se compran en pinturerías.
Lajas para pisos – Como colocar lajas – Lajas de cemento
Descarga aqui: Lajas para pisos – Como colocar lajas – Lajas de cemento
Como Hacer












Pingback: Bitacoras.com